阿伦尼乌斯公式是用来描述化学反应速率阿伦尼乌斯公式的经验公式其一般形式为k=Ae^具体解释如下阿伦尼乌斯公式的含义 阿伦尼乌斯公式是化学中一个重要的经验公式阿伦尼乌斯公式,用于描述化学反应中的反应速率与反应温度之间的关系这个公式是瑞典化学家阿累尼乌斯在大量实验基础上提出的,广泛应用于化学反应动力学领域阿伦尼乌斯。

活化能的引入源于1889年阿伦尼乌斯的理论,它在化学反应中相当于一个能量障碍温度的升高能增加分子的能量,使更多非活化分子变为活化分子,从而加快反应速率根据范特霍夫定律,温度每升高10K,反应速率可能增加24倍阿伦尼乌斯公式具体表达为k = A * e^Ea R * T其中k是速率常数。

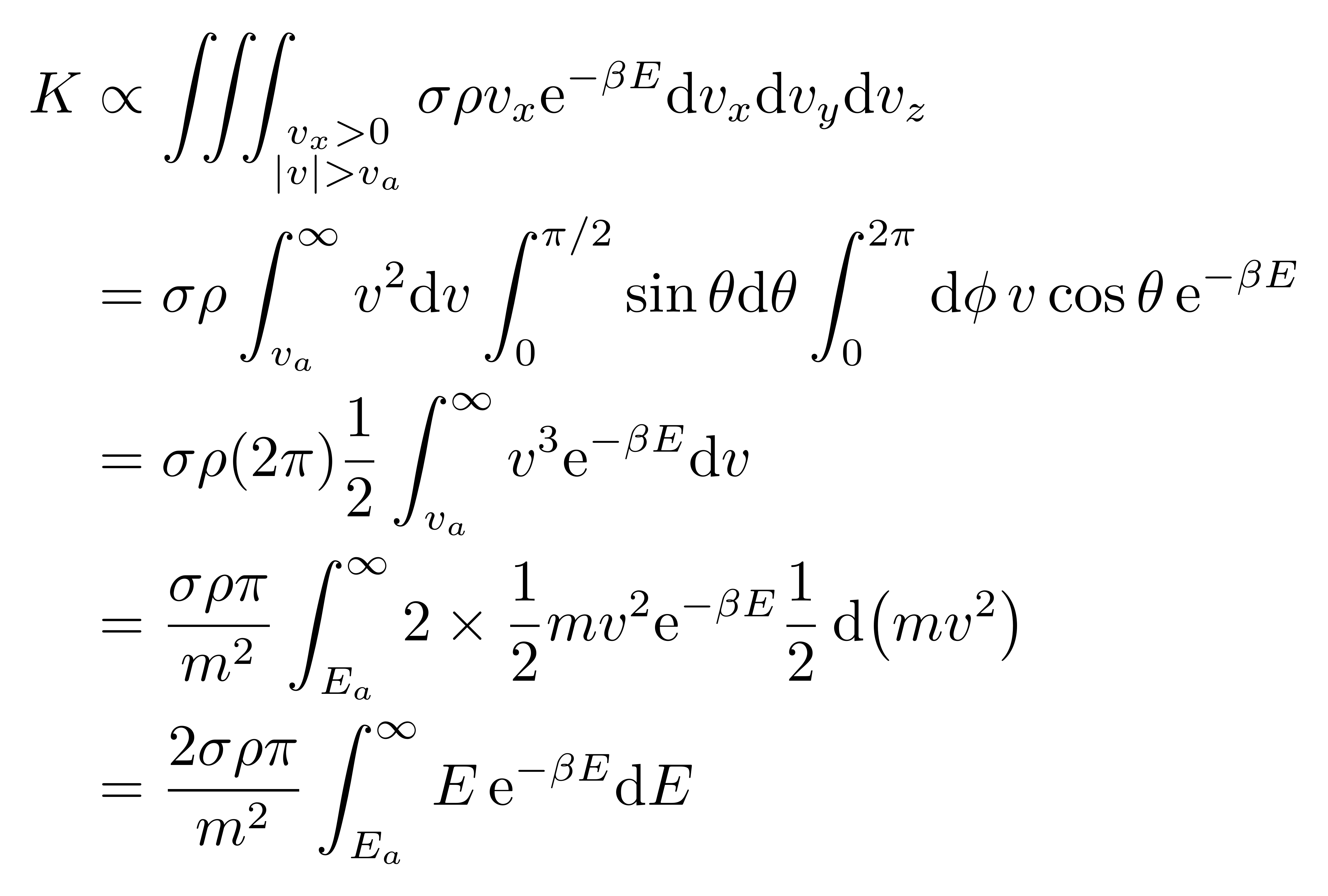
阿伦尼乌斯公式是化学领域中的一个关键公式,它描述阿伦尼乌斯公式了化学反应速率常数k随温度变化的关系这个公式由瑞典科学家阿伦尼乌斯提出,用以表达化学反应速率常数k与温度T之间的定量关系公式表达为k=AeEaRT,其中,k代表速率常数,R是摩尔气体常量,T是热力学温度,Ea是表观活化能,A是频率因子。
阿伦尼乌斯公式在化学动力学中占有重要地位,它最初以微分形式呈现lnk = EaRT + lnA这里的k为反应速率常数,Ea为活化能,R为气体常数,T为绝对温度然而,当温度变化较大时,公式中的A和Ea可能会产生显著变化,导致误差为了解决这个问题,我们可以采用修正后的公式k = A * expEa。
阿伦尼乌斯公式k=AeEaRT 阿伦尼乌斯公式Arrhenius equation 由瑞典的阿伦尼乌斯所创立化学反应速率常数随温度变化关系的经验公式公式写作 k=Aexp指数式k为速率常数,R为摩尔气体常量,T为热力学温度,Ea为表观活化能,A为指前因子也称频率因子也常用其另外一种形式lnk=lnAEaRT。
相关标签 :
上一篇: optimusprime,optimusprimes怎么读
下一篇: 小米8se论坛,小米手机论坛社区
SMSMan:全球开发者的在线短信接收与验证平台
微信医疗(登记+咨询+回访)预约管理系统
云约CRM微信小程序APP系统定制开发
云约CRM体检自定义出号预约管理系统
云约CRM云诊所系统,云门诊,医疗预约音视频在线问诊预约系统
云约CRM新版美容微信预约系统门店版_门店预约管理系统联系电话:18300931024
在线QQ客服:616139763
官方微信:18300931024
官方邮箱: 616139763@qq.com